Подвесные устройства УП-М
Описание
Подвесные устройства предназначены для использования в подземных горных выработках на промышленных площадках горнодобывающих предприятий и рудников и подземном строительстве при разработке полезных ископаемых подземным способом в следующих условиях:
— шахты и рудники с внешними воздействующими факторами по
«Правилам безопасности в угольных шахтах»;
— атмосфера типа II по ГОСТ 15150-69 при запыленности воздуха не более 200 мг/м;
— относительная влажность воздуха при температуре 25°С — до 100%;
— температура окружающей среды — от плюс 35°С до минус 5°С.
Устройства подвесные для присоединения уравновешивающих канатов модернизированные УП-М с симметричным грушевидным коушем, предназначенные для присоединения стальных круглых крутящихся и малокрутящихся уравновешивающих канатов к подъемным сосудам и противовесам одноканатных и многоканатных грузовых и грузолюдских подъемных установок.
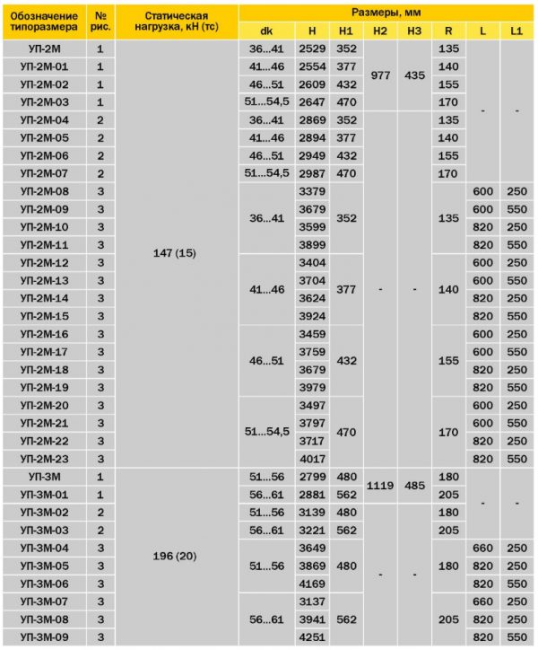
Подвесные устройства изготавливаются следующих типоразмеров:
УП-2М и УП-ЗМ.










